|
|
|
|||||||||
|
|
||||||||||
|
Coupled Oscillations [SPS Shortcourse]
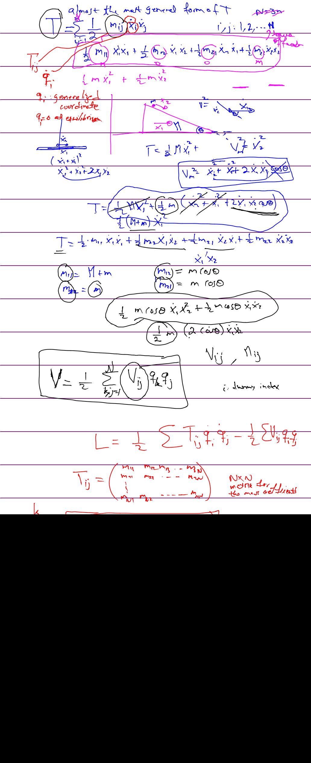
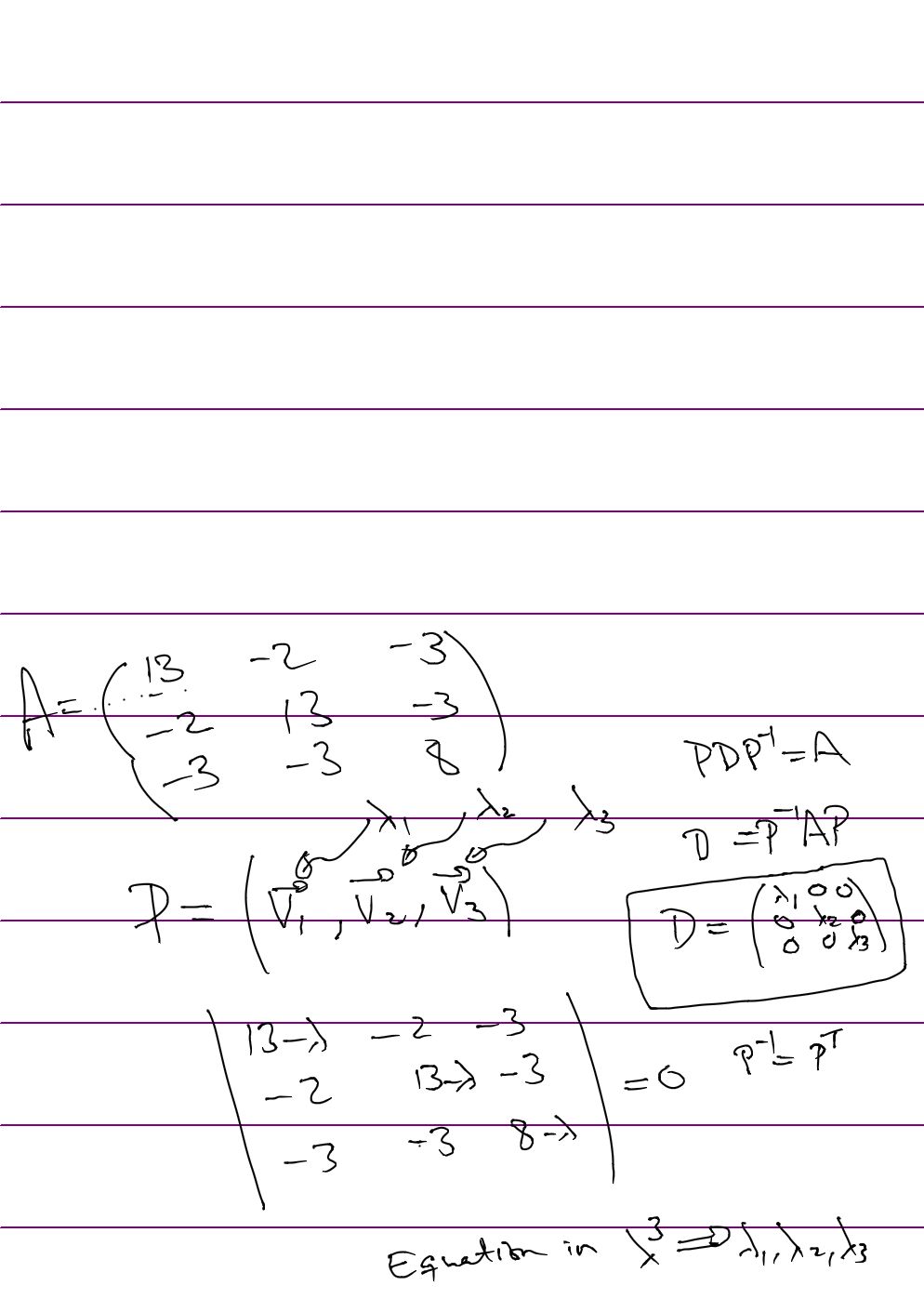
Lecture-6: In this lecture we start discussion about coupled oscillators! After a short quiz, we start with the textbook problem of the two coupled masses connected to walls. Then, we give the General Theory of Coupled Oscillators. Here is the presentation. These two notes (1, 2) will be mentioned, but not derived, during the Centra Session; please study it. Scribbles from this lecture are: 1, 2, 3, 4, 5
Relevant Web-sites: http://www.loncapa.org/~mmp/applist/coupled/osc2.htm
Mathematica Codes: Damped oscillator, Two coupled oscillator (same masses)
Comments:
back to the main (Coupled Oscillations) page last up-dated: Rabi-I, 1433 |
||||||||||
![]() |
||||||||||
|
|
|
|||||||||
|
|
|
|
|
|
|
|
|
|
|
|