الوحدة الثالثة
تطبيقات على التفاضل

القيم القصوى للاقتران (14)

 

 

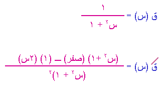
 جد فترات التقعر إلى أعلى وفترات التقعر إلى أسفل ونقط الانعطاف وزوايا الانعطاف للاقتران

 


اكتبوا لنا ملاحظاتكم واستفسارتكم

تحرير : المدرسة العربية  www.schoolarabia.net

اعداد : أ. فائق الفّرا

 

تاريخ التحديث : 18 حزيران 2002

Copyright © 2001 - 2002 SchoolArabia. All rights reserved الحقوق القانونية و حقوق الملكية الفكرية محفوظة للمدرسة العربية

back next