العبارات العددية

نتبع الخطوات التالية:

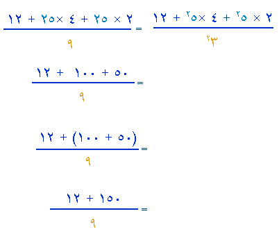
ولتبسيط العبارة العددية ( وهي أكثر تعقيداً )

 


                                                

 بسط العبارات العددية التالية ( اذكر تسلسل العمليات الحسابية    التي ستقوم بها ) ؟


 

3 + ( 6 × 8)

4 × 2 × 9  

25 + 1      

 

الدرس التالي


اكتبوا لنا ملاحظاتكم واستفساراتكم

تحرير : المدرسة العربية  www.schoolarabia.net

اعداد : المدرسة العربية

 

تاريخ التحديث 24 نيسان 2002

   

 
 
 
 

Copyright © 2001 - 2002 SchoolArabia. All rights reserved الحقوق القانونية و حقوق الملكية الفكرية محفوظة للمدرسة العربية