|
|
|
|||||||||
|
|
||||||||||
|
Coupled Oscillations [SPS Shortcourse]
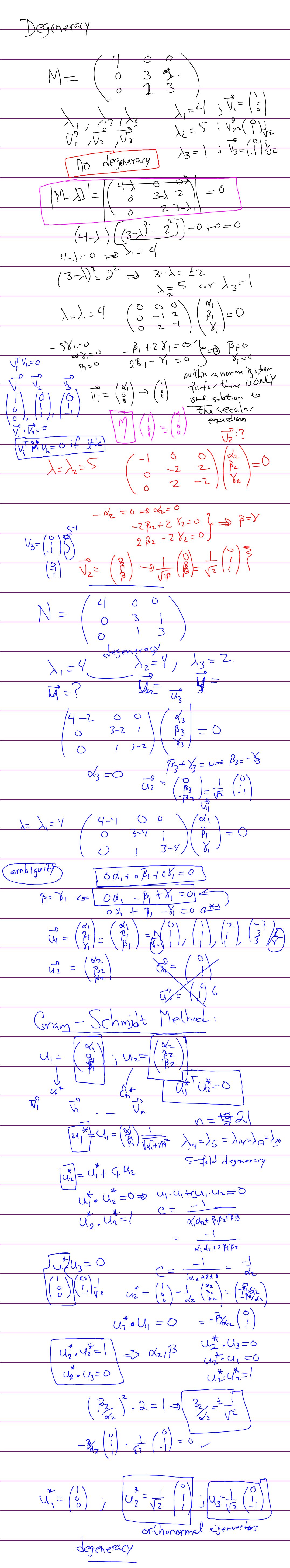
Lecture-7: This lecture gives continues to discuss the general theory of coupled oscillators. We will then take the double-pendulum and the CO2 molecule oscillations as examples.
The presentation is posted here.
Notice my scribbles: 1, 2, 3, 4, 5, 6, 7
Relevant Web-sites:
Mathematica Codes: Two coupled oscillators (revisited), double-pendulum
Comments:
back to the main (Coupled Oscillations) page
last up-dated: Safar, 1433 |
||||||||||
![]() |
||||||||||
|
|
|
|||||||||
|
|
|
|
|
|
|
|
|
|
|
|