|
|
|
|||||||||
|
|
||||||||||
|
Coupled Oscillations [SPS Shortcourse]
Lecture-5: This lecture introduces Lagrangian mechanics after finishing off a few subtle issues with linear algebra; then, we move forward with Oscillations!! The presentation is here.
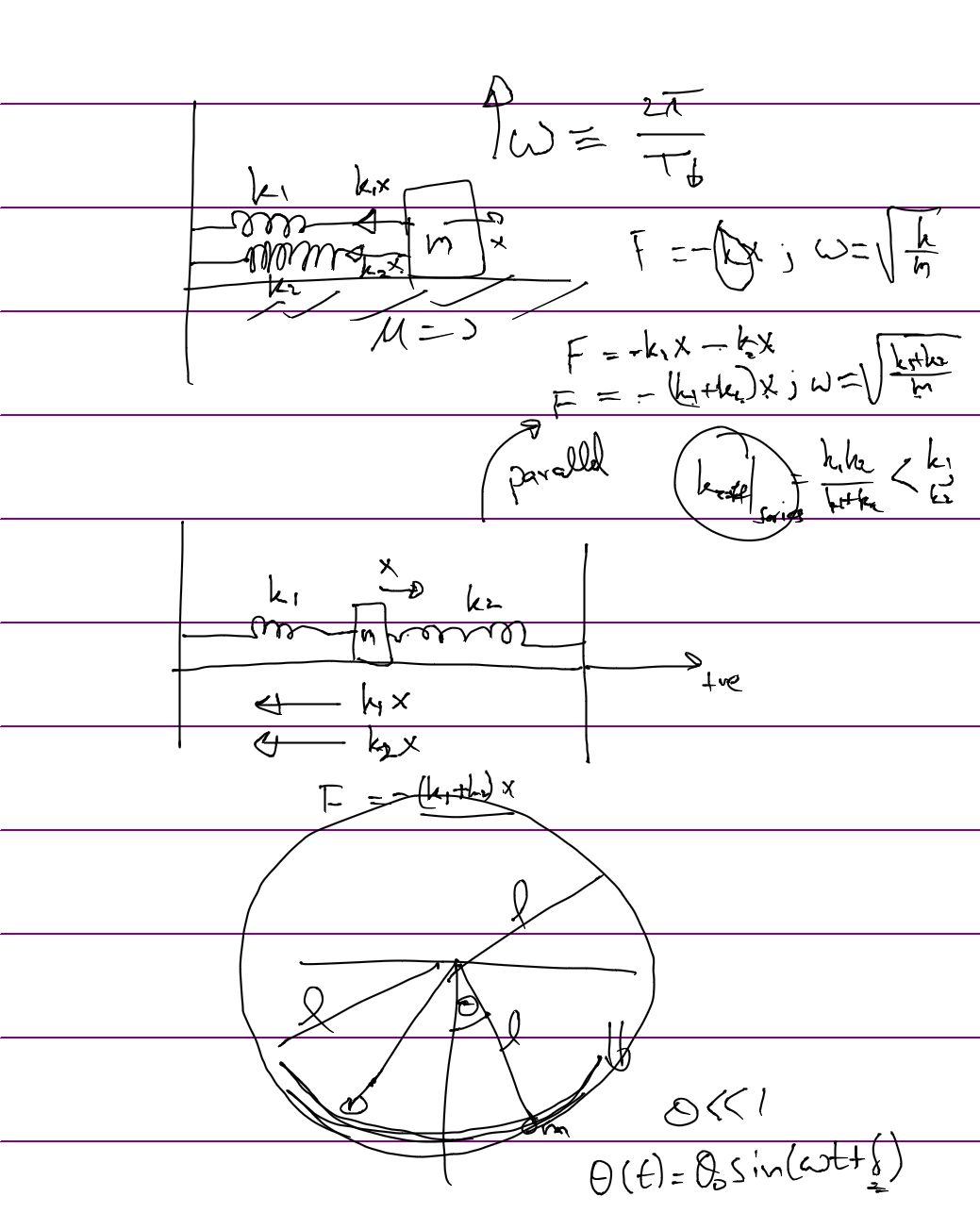
Some notes include: Two masses connected by a spring (as in Central Force Problem) Two masses connected by a spring (direct method) note: the two solutions are the same, of course. Yet, the symbols might not have the same meaning, especially what I mean by "x"!!
My scribbles are here: 1, 2, 3, 4, 5, 6, 7, 8, 9, 10
Next class, we will start discussing the two coupled masses connected to walls.
Relevant Web-sites:
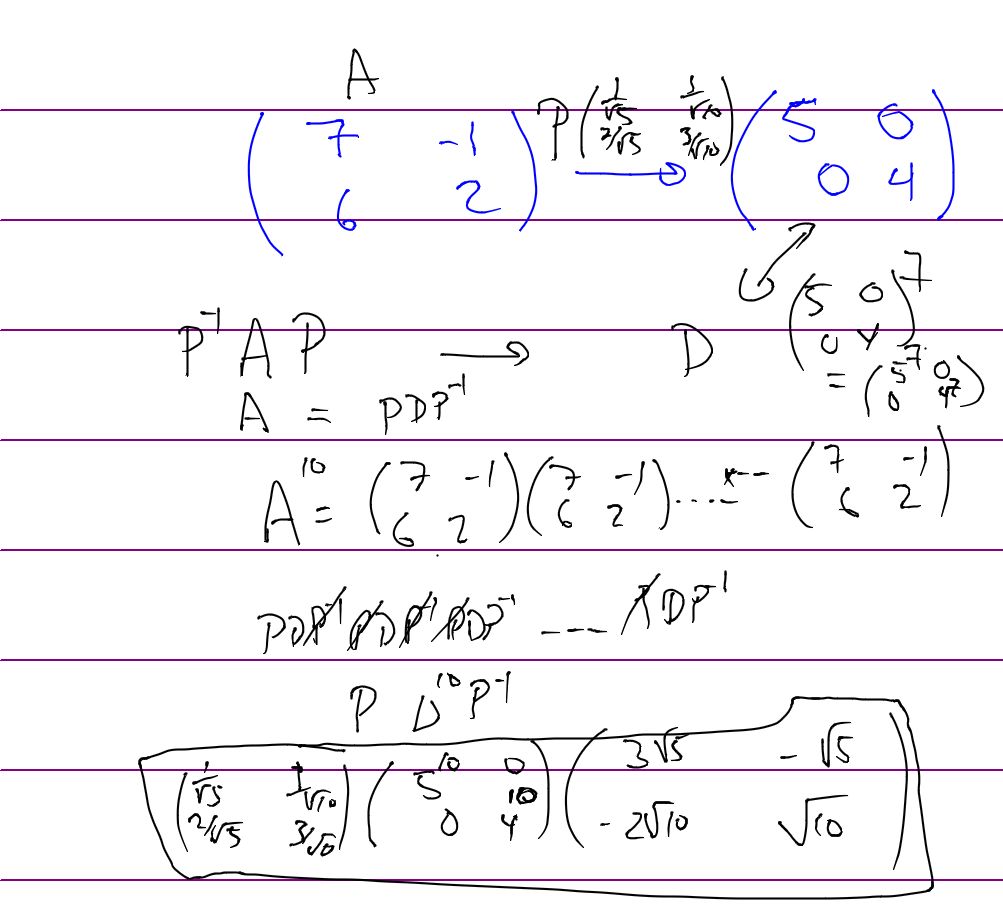
Mathematica Codes: Mixing matrix elements through multiplication, A10, Lissajous
Comments:
back to the main (Coupled Oscillations) page last up-dated: Rabi-I, 1433 |
||||||||||
![]() |
||||||||||
|
|
|
|||||||||
|
|
|
|
|
|
|
|
|
|
|
|