|
|
|
|||||||||
|
|
||||||||||
|
Coupled Oscillations [SPS Shortcourse]
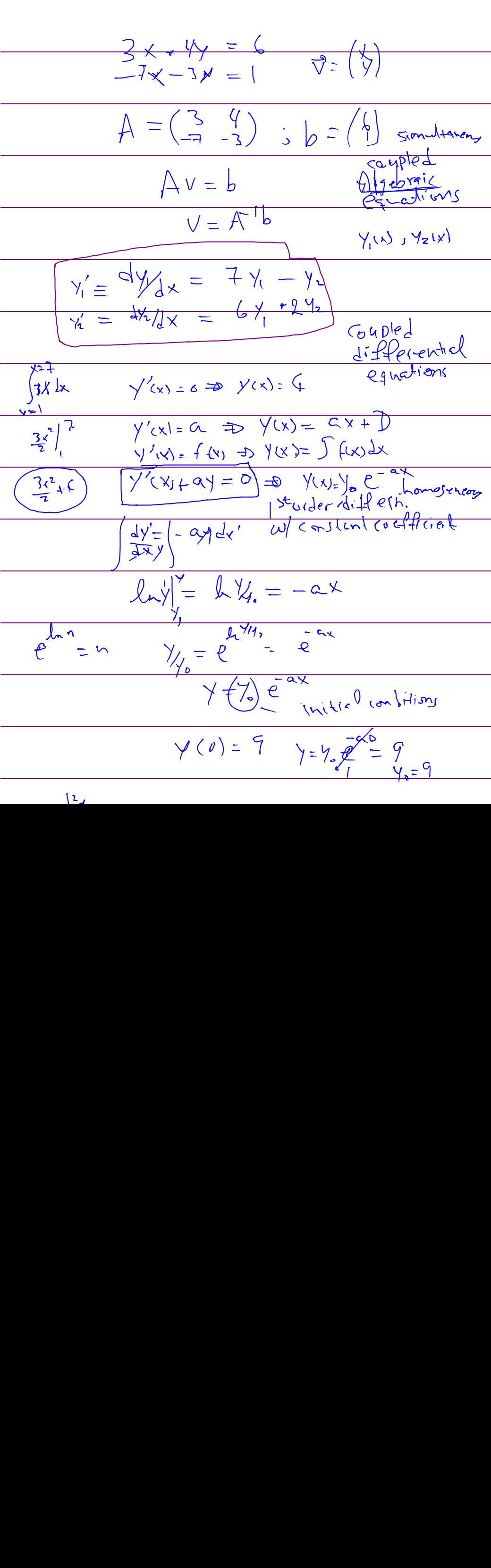
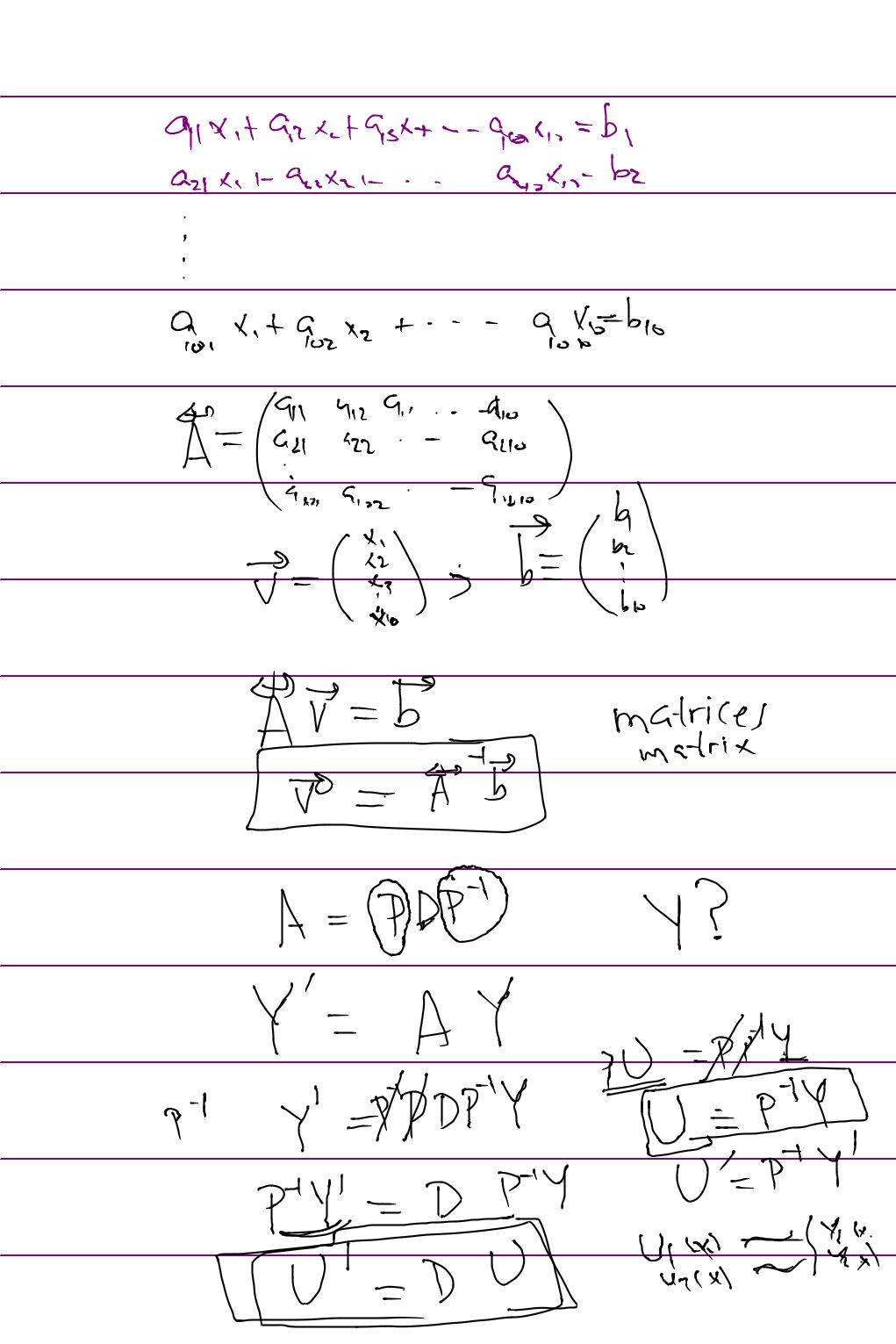
Lecture-4: This lecture concludes the linear algebra introductory. My lecture-4 presentation is posted here. My scribbles for lecture-4 are: 1, 2, 3, 4, 5, 6, 7
Also, the idea behind solving coupled differential equation note.
Relevant Web-sites:
Mathematica Codes: change basis, check inverse diagonal
Comments: Sister Rehab recommends reading these handouts: 1, 2, 3, 4, 5
back to the main (Coupled Oscillations) page last up-dated: Rabi-I, 1433 |
||||||||||
![]() |
||||||||||
|
|
|
|||||||||
|
|
|
|
|
|
|
|
|
|
|
|