Directional Derivative

 

Animation

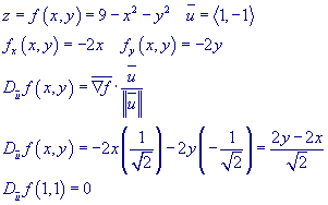
Example (More Detail)

Max Directional Derivative