![]() |
![]() |
|
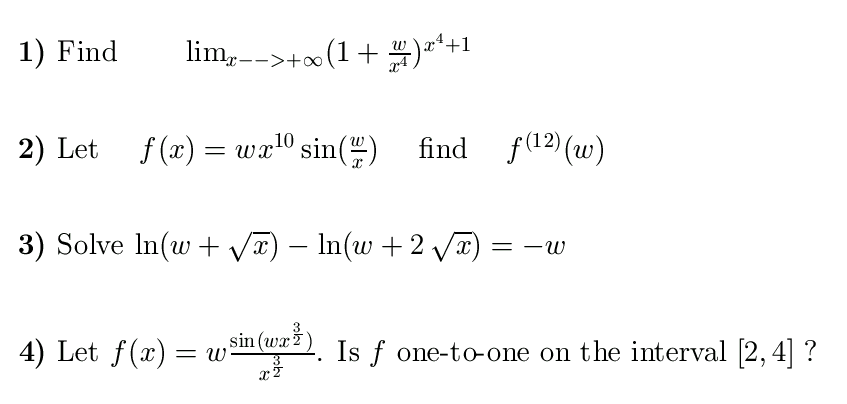
QUIZ (1) |
|
|
Please read this before your start |
|
|
*Use Mathematica to solve these problems. |
|
|
*Submit your answers any time before 7:00AM Tuesday November 6, 2001 |
|
|
*Here is a quick start to MATHEMATICA |
|
|
*Let w = ( last four digits of your ID number ) / 1000 |
|
| *Be aware that each student has different answers. | |
| *To submit 3.567 X 10^(-33) type 3.567e-33 | |
| *First solve all the 7 problems then enter all the 7 answers in the left page then click on submit button. | |
| * Here is an example ( How to enter the numbers ) | |
| *After you click on Submit button, wait until you receive the confirmation page. | |
![]() |
|
![]() |
|