MATH 480:
Homework # 3
1.Using WCS theorem find the optimal solution to the following L.P.Ps.
a. max ![]()
s. t.

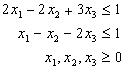
b. max ![]()
s.t. 
c. min ![]()
s.t. 
2. Given the L.P.P
min ![]()
s.t. 
the final tableau for this program (verify) is

add new
with
and
Using the above tableau find the new optimal solution.