CHE 204/ Solution of Homework # 6

P1

P2

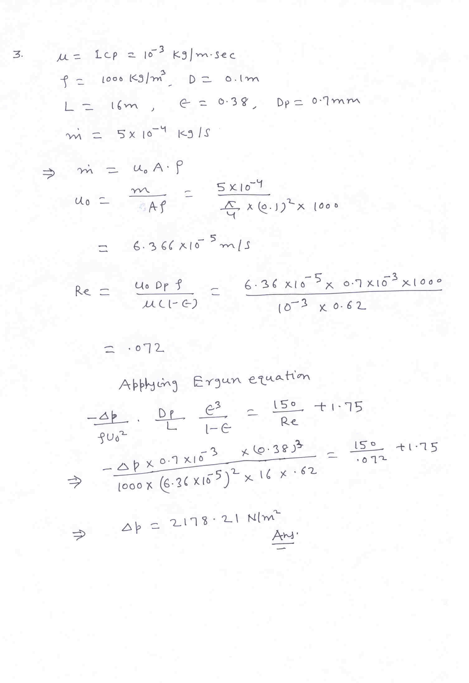
P3

P4

P5

P6

P7

P8